2025年09月17日
人間の思考を模倣する新発想の人工知能に挑む~人間の思考とは何なのか~
人工知能(AI)といえば大量のデータを学習するという印象がありますが、トヨタ自動車未来創生センターではその常識を覆し、異なる方式の人工知能*1-2を目指している研究者がいます。その内容について研究者の深田にヒアリングしました。
今の人工知能は本当に知能といえるのか?
-今日はよろしくお願いします。今回は人工知能の研究ですね。
- 深田
- はい。人工知能による知能化はモビリティはもちろん、あらゆる分野で重要な技術です。一方で、現状の人工知能にはさまざまな問題があります。それを解決するために違った方法を探っています。
-今の人工知能にはまだまだ問題があるのですね。
- 深田
- こんな話があります。たとえば今のはやりの大規模言語モデル(LLM)はそれらしく言葉を並べているだけで、応用問題が解けないなど、意味を理解してはいないといわれています*3-4。学習パターンに従ってそれらしく言葉を並べる機能は我々の脳にも備わっていますが、LLMはそれのみで、いわゆる「思考回路」がありません。プログラムを作成できたりするので一見高い論理推論能力を持っているように見えますが、実はそうではありません。LLMの性能は日々向上してはいますが今の延長線では限界があると思います。たとえば99%の正答率というのはクイズの回答なら素晴らしいですが、人の命や権利に関わるところで1%の確率で間違えてしまったら受け入れられないですよね。また、一億の人がいれば一億の個別事情があって、前例のない困りごとも多いはずです。前例のない課題の解決策は学習データの中にはありません。そのようなときに解決策を見つけられるのは正確な論理推論です。誰も取り残さない社会を実現する、その役に立てるために正確に論理推論する人工知能を作りたいのです。
-正確な論理って、堅そうですが。
- 深田
- 杓子定規な論理は避けたいですよね。たとえば法律。完璧な法律なんてないし、その本来の目的は公正と人の幸福です。本来の目的まで遡っての正確かつ柔軟な推論。それが私の目標ですし、できるはずです。
-人の感情は論理的ではないと思いますがどうするのでしょうか?
- 深田
- 論理は感情を否定するものではありません。人の気持ちは一番大切にするべきもので、それが出発点です。そして、思いを叶えるためにどうするか、論理的に考えるわけです。
新しい人工知能のカタチ-二つの学問領域との出会い
-正確に論理推論する人工知能、ですね。どのようにしてつくるのでしょうか?
- 深田
- まず、人間の思考メカニズムをまねた事象表現を考えました。「ボブはアリスを愛している」というエピソードを考えてみます。我々人間には関係性を矢印で表す感性があり、ボブからアリスに向かう「愛している」という矢印を描きたくなりますが、どうもこれではしっくりいかない。ここで気づいたのが、ボブにはボブの物語があり、アリスにはアリスの物語があるということです。これは「愛している」という一つの矢印では表現できません。そこで、まず「愛している」という行為を置きます。そして、愛しているのはボブなので、「誰が」の矢印で「愛している」とボブをつなぎます。
-まず愛があるのですね。
- 深田
- 物語の主体は「愛している」という行為にあります。これが重要な気づきでした。そしてアリスには「愛されている」という物語があります。「愛されている」という行為が存在して、「誰が」の矢印でアリスとつなぎます。そして、「愛している」と「愛されている」の間に原因と結果の因果関係があってこれも矢印でつなぎます(図1)。一見複雑ですが、「一つの行為に一人の行為者」という統一された記述なのでむしろ単純です。これであらゆるエピソードを記述するということでepisode-log、略してe-logと名付けました。
-
- 図1 : 「ボブはアリスを愛している」を記述したe-log
-行為者でなく行為が主体ですね。この発想は何をヒントにしたのでしょうか?
- 深田
- 認知科学と圏論という数学との出会いが決定的でした。認知科学からは我々が世界を理解しているしくみについて学びました。物語の主体は行為だという気づきはここから得たものです。そして圏論は点と点を矢印でつないだシステムを扱う数学です(コラム1)。
-ディープラーニングではないのですね。
- 深田
- そうです。ディープラーニングは神経回路を模擬したもので、画像認識などでは素晴らしい性能を発揮しますが論理推論は苦手だと私は見ています。我々の脳は生物の中では特異的に大きいのですが、苦手な論理推論をするために大きくなった印象です。そこで神経回路にこだわらずに考察してできたのがe-logです。
思考とは何なのか?
-これからどのように論理推論をするのでしょうか?
- 深田
- 論理推論というのはルールや法則といった規則との対比です。この対比のプロセスを実現するのが数学、圏論です。関手(かんしゅ)という演算(コラム2)を使って、ある出来事を記述したe-logを、規則を記述した別のデータ、シナリオを記録したということでscenario-log、略してs-logと呼んでいますが、それと対比させていきます。ある規則に当てはまることがわかれば、そこから次に何が起こるか、あるいは起こるべきかをいい当てることができます。たとえば、「ボブは愛している」と聞いたら、「誰を?」って思いますよね。これは、「愛しているなら、愛されている相手がいる」という愛の法則に対比させて「相手がいるはずだ」と推論する立派な論理推論ですよ。
-愛の法則、ですか!
- 深田
- これは単純な事例でしたが、ミステリーの推理や数学などの複雑な論理推論もこの延長(コラム3)です。また、要約など既存のシナリオを組み合わせる計画立案といった推論も可能です。
cognitive-logの誕生
- 深田
- このe-log、s-logの他に、「ツバメは鳥である」というようなbe動詞で書けるような関係性を記述するbe-logというシステムも作っていて、これらをまとめてcognitive-logと名付けました。
-これらをコンピューターに載せていくのですね。
- 深田
- これらのcognitive-logはリレーショナルデータベースというデータベースに変換できます(図2)。これは確立した技術ですので実装は容易です。論理推論を実現する圏論の演算は矢印や行為の対応関係の探索ですが、実は探索って量子コンピューティングにピッタリなんです。この分野では日本は強いですから、期待しています。
-
- 図2 : e-logの3つの表現形式
-ディープラーニングとはずいぶん違っていますね。
- 深田
- ところがですね、実はディープラーニングを活用するアイデアもあります。前述のリレーショナルデータベースの形って、一文が4つの単語で書かれた言語のようなものです。ということは……
-LLMで処理できるということですか?
- 深田
- そうです。数学の得意な人に数学の問題を相談すると、「あーやってこうやったら、解けるんじゃない?」のようなことをいいます。訓練した人には直観的に解が見える。そういう直観的な思考はディープラーニングでできたLLMで再現できるかもしれない。ディープラーニングと圏論の演算を組み合わせると、パッと直観的にひらめいて、グッと厳密に推論、そんなことができるかも知れません。
認知科学への応用
- 深田
- ところで、認知科学を参照してcognitive-logを作りましたが、逆に認知科学の研究に使うこともできそうです。
-人工知能への応用だけではないのですね。
- 深田
- たとえば、言語学では動詞の体系は世界のさまざまな言語でほぼ共通している一方で、形容詞は言語による多様性が大きいそうです。日本語も形容詞の他に形容動詞という品詞を持ちます。「真っ黒だ」という形容動詞表現は「黒くなる行為」というニュアンスを持っているといえますし、また「黒い色を持つ」という表現も存在します。cognitive-logではこれらの表現が等価であることが関手で示されるので、形容詞表現の多様性を説明できる可能性があります(図3)。
-
- 図3 : 「真っ黒な猫」という表現の変換
異なる表現に対応したcognitive-logの間が関手によって結ばれ、等価であることが理解できる。
新しい人工知能実現への道
-これで人間の思考を模倣する準備が整ったわけですね。
- 深田
- 我々の脳というのは巨大なシステムで、わからないことがたくさんあります。これは参ったと思うのが心のシミュレータ。人って、他人の心の中を想像して再現する機能を生まれつき持っています*5。これは我々の認知の根幹をなしていて、たとえば法律でも意図や目的という客観的に見ることのできない心の中の要素でもって人を裁いている。これは驚くべきことです。エピソードの理解においても人間は行為をその意図で分類しています。たとえば「運ぶ」という行為。手で運ぶのとトラックで運ぶのとでは手足の動きは全く違いますが、ものの場所を変えるという意図は同じなのでどちらも「運ぶ」なんですね。「愛」に至っては心の中だけの出来事で目に見えないものを見ているわけです。この他人の意図想定は論理推論の中に奥深く入り込んでいる可能性があって、そのメカニズム解明が一つの関心事です。
-実現にあたっての課題は何でしょうか?
- 深田
- 一つは作業量が大きいことですね。ゆくゆくは自ら学ぶ人工知能になるわけですが、初期段階の「常識」レベルの知識は人の手で打ち込むことが必要と思われます。大量の学習データが必要ない代わりに質的に違う作業が必要です。悩ましいのは、現在主流の方法と違いが大きくて受け入れられにくいことです。少しずつ仲間を広げていきます。
-最後に、この技術をどのように役立てていくのでしょうか?
- 深田
- その問いは、自分がなぜこの世に生まれてきたのかという問いにつながります。正直わからない、永遠の問いですね。人は誰しも何らかの役割を持ってこの世に生まれているっていいますよね。cognitive-logも、これが役に立っていく道筋は考案者である私自身でも描き切れていないですし、本当に人を幸せにできるのかという疑問は常にありますが、いつかきっと、時には私も想像しなかったような使われ方をしながらこの世のどこかで役に立っていくと信じています。
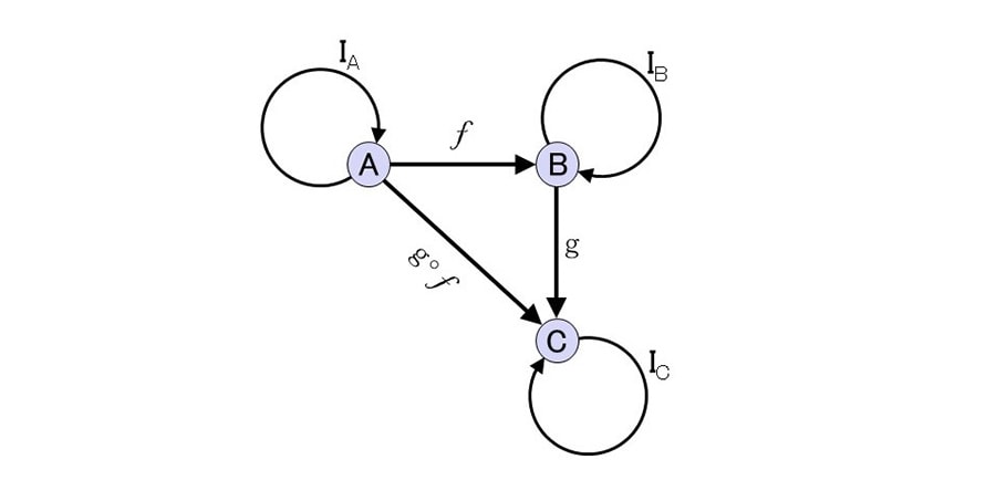
コラム1 : 圏論とは
-
- 圏の例
圏とは、対象(object)と呼ばれる点と点を射(arrow)と呼ばれる矢印でつないだもので、射の合成が常に成り立ち、たとえば図のfとgの合成であるg◦fが必ず存在する。全ての対象に、自身に帰ってくる恒等射と呼ばれる射(IA, IB, IC)が存在する。ただし恒等射は必要がなければ表示を省略することが多い。
コラム2 : 関手の演算
-
- 関手の例
圏と圏の間を矢印でつないで対比させるのが関手で、対象と対象をつなぐ矢印と射と射をつなぐ2種の矢印で構成される。関手では元の圏の中の射のつながりが対比させた先でも保たれるという規則がある。関手で対比させた圏は必ずしも同じ形をしている必要はなく、複数通りの関手が存在する場合も多い(この例ではBをaに対比させるなど、複数の関手がありえる)。このような関手の柔軟性は抽象レベルの変換などさまざまな論理推論を体現できる。
コラム3 : 関手を用いた論理推論の例
-
- 実エピソードを記述したe-logと法則を記したs-logの対比
黄色いボトルがコンテナに入れられており、ロボットがコンテナを運んだという事象(下のe-log)を想定する。この事象は「容器を運べば内容物も運ばれる」という法則(上のs-log)に当てはまり、この次にはコンテナとともに黄色のボトルが運ばれること(ピンク色で表示した「運ばれる」と破線で示した周辺の矢印)が予見できる。赤いボトルは当てはまらないので運ばれない。コンテナ→容器、黄色のボトル→内容物、および各行為や矢印の対応関係が関手である。常識のように思えるが、黄色のボトルが運ばれることを予見できるのはこのような論理推論による。
著者
深田 善樹(ふかだ よしき)
未来創生センター R-フロンティア部 協調ロボティクス研究グループ
参考資料
| *1 | Fukada Y., “Action is the primary key: a categorical framework for episode description and logical reasoning”, arXiv:2409.04793 |
|---|---|
| *2 | 深田 善樹, “グラフィカルなネットワークを用いた論理思考と圏論による精緻化”, 2025年度人工知能学会全国大会, 2L4-GS-1-02 |
| *3 | 東大プレスリリース : LLMの情報処理は感覚性失語症の脳活動と似ていた(2025年5月15日) |
| *4 | Mancoridis M., Weeks B., Vafa K., and Mullainathan S., “Potemkin Understanding in Large Language Models”, arXiv:2506.21521 |
| *5 | 大神田 麻子, 板倉 昭二, “心の理論”, 脳科学辞典 DOI : 10.14931/bsd.6954 (2021) |
本件に関するお問い合わせ先
- 未来創生センター
- メールアドレスfrc_pr@mail.toyota.co.jp
関連コンテンツ
アクセスランキング
2026年02月25日
「走り」と「広さ」にこだわったバッテリーEV 新型車「bZ4X Touring」を発売
2026年02月20日
ヤリス・ヤリス クロスを一部改良
2026年03月05日
4月1日付 役員人事、幹部職人事および第122回定時株主総会後の取締役体制について
2025年10月21日
新型車「ランドクルーザー“FJ”」を世界初公開
